Are you looking for a Printable Durable Power of Attorney Form in New Jersey? It’s essential to have this legal document in place to ensure your affairs are taken care of if you become incapacitated. With the right form, you can designate someone you trust to make decisions on your behalf.
Having a Printable Durable Power of Attorney Form in NJ is crucial for peace of mind. It allows you to choose a trusted individual to handle your financial and legal matters if you are unable to do so yourself. This form gives them the authority to act on your behalf when necessary.
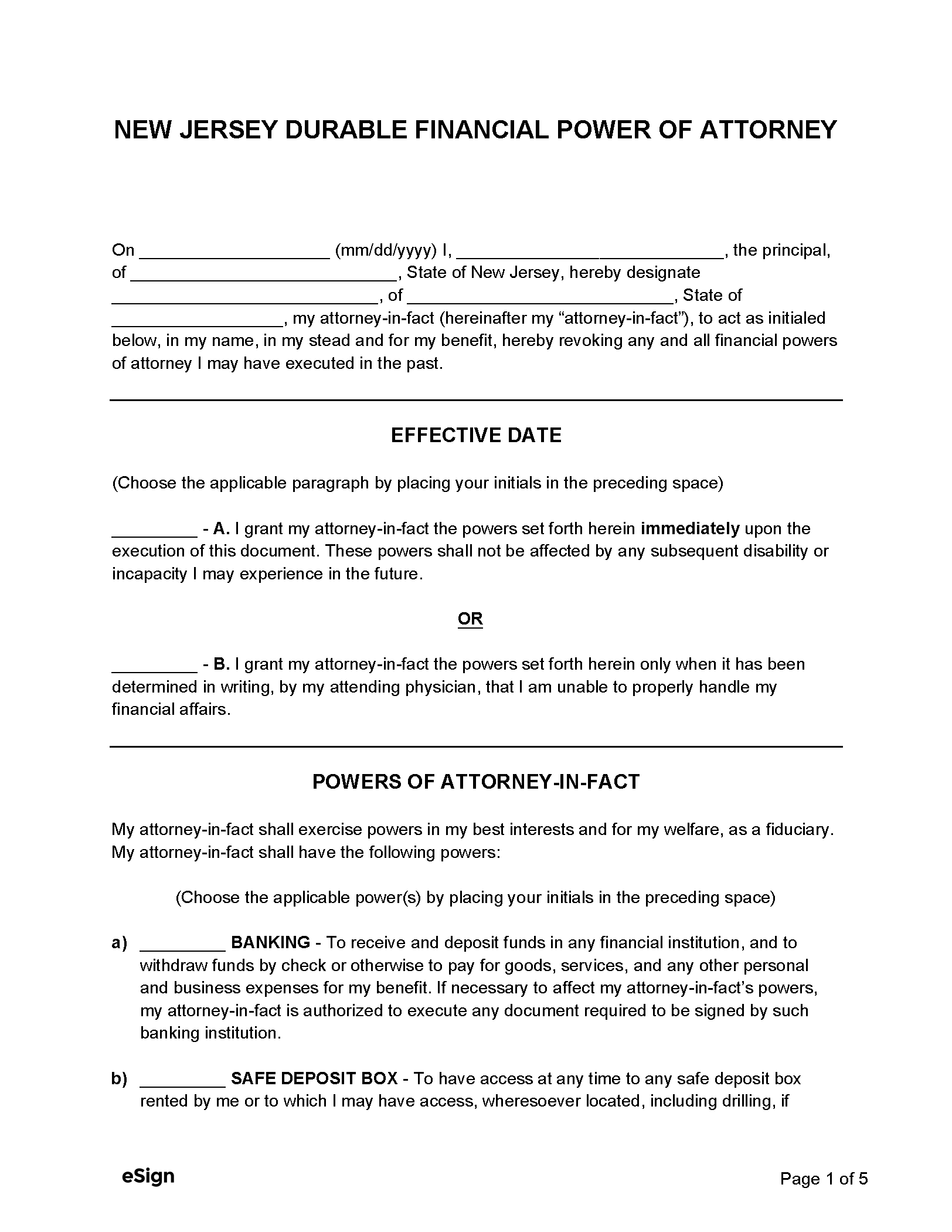
Printable Durable Power Of Attorney Form Nj
Printable Durable Power of Attorney Form NJ: What You Need to Know
When creating a Printable Durable Power of Attorney Form in New Jersey, it’s important to follow the state’s specific requirements. Make sure the form is properly executed and notarized to ensure it is legally binding. You can find templates online or consult with an attorney to create a customized form that meets your needs.
It’s crucial to choose a trustworthy individual to act as your agent in the Durable Power of Attorney. This person should be someone who understands your wishes and will act in your best interests. Make sure to discuss your preferences with them and provide clear instructions on how you want your affairs to be managed.
Having a Printable Durable Power of Attorney Form in NJ can provide you with peace of mind knowing that your affairs will be handled according to your wishes. Take the time to create this important document and ensure that your interests are protected in case of incapacity.
Don’t wait until it’s too late. Take the necessary steps to create a Printable Durable Power of Attorney Form in New Jersey today. By planning ahead, you can ensure that your financial and legal matters are taken care of by someone you trust. Consult with an attorney to get started and protect your interests for the future.
New Jersey Durable Power Of Attorney Forms CocoSign
New Jersey Power Of Attorney Templates Free Word PDF ODT
Free New Jersey NJ Power Of Attorney Forms Templates PDF
Free New Jersey Durable Power Of Attorney Form PDF Word
Free New Jersey Durable Financial Power Of Attorney Form PDF Word EForms





